Конформационные изменения белков плазмы и эритроцитов крови у родильниц при различной тактике ведения периоперационного периода
- Авторы: Меджидова Д.Р.1, Шифман Е.М.2, Абдуллаев В.Р.3, Куликов А.В.4
-
Учреждения:
- Дагестанский государственный медицинский университет
- Московский областной научно-исследовательский клинический институт им. М.Ф. Владимирского
- Дагестанский государственный университет
- Уральский государственный медицинский университет
- Выпуск: Том 8, № 4 (2021)
- Страницы: 221-232
- Раздел: Оригинальные исследования
- Статья получена: 09.12.2021
- Статья одобрена: 09.12.2021
- Статья опубликована: 15.12.2021
- URL: https://archivog.com/2313-8726/article/view/89985
- DOI: https://doi.org/10.17816/2313-8726-2021-8-4-221-232
- ID: 89985
Цитировать
Аннотация
Обоснование. Родоразрешение путём кесарева сечения связано с длительной госпитализацией по сравнению с самопроизвольными родами и риском интра- и послеоперационных осложнений. Внедрение программы ускоренного восстановления после запланированного кесарева сечения способствует быстрому восстановлению пациентки путём оптимизации различных элементов ухода.
Цель исследования ― изучение влияния компонентов программы ускоренного восстановления на тяжесть окислительного стресса при абдоминальном родоразрешении на разных этапах периоперационного периода.
Материалы и методы. Проведено сравнительное исследование конформационных изменений белков плазмы и эритроцитов крови родильниц методом флуоресцентной спектроскопии. В исследование включили 81 пациентку перинатального центра г. Махачкалы, которым проводилось плановое кесарево сечение в условиях спинальной анестезии. Выделены две группы родильниц: 1-я группа ― контрольная (n=38), с традиционным ведением периоперационного периода (голодание за 8 ч до операции, введение антибиотика после пережатия пуповины); в пределах данной группы забор крови проводили у каждой из 38 пациенток в разные промежутки времени; всего у родильниц 1-й группы взято 152 образца исследуемого материала; 2-я группа ― основная (n=43), включала родильниц, периоперационный период у которых вели по программе ускоренного восстановления с введением антибиотика цефазолина за час до операции и с приёмом глюкозосодержащего напитка (ГСН) за 2 часа до операции; всего у родильниц 2-й группы взято 172 образца исследуемого материала. При выполнении настоящей работы использовали методы предподготовки биологического материала и спектральные методы анализа.
Результаты и обсуждение. Обнаружено, что в белках плазмы крови беременных, в том числе в пуповинной крови, на всех этапах подготовки к родоразрешению путём операции кесарева сечения (КС) после проведения спинальной анестезии происходят незначительные конформационные изменения. В основной группе родильниц введение антибиотика за час до родоразрешения усиливало окислительную деструкцию белков плазмы крови. В эритроцитах у родильниц контрольной группы наблюдалось изменение структурно-динамических параметров мембранных белков, на что указывает синий сдвиг максимума спектра флуоресценции, чего не наблюдалось в эритроцитах крови родильниц основной группы, получивших глюкозосодержащий напиток.
Заключение. По спектрам суммарной собственной флуоресценции белков плазмы крови родильниц и пуповинной крови можно предположить, что применение глюкозосодержащего напитка за 2 часа до родоразрешения путём КС на фоне введения антибиотика способствует восстановлению некоторых параметров собственной флуоресценции мембранных белков эритроцитов крови. Полученные данные не указывают на какие-либо стойкие патологические явления в организме матери на всех этапах подготовки к родоразрешению путём КС с применением спинальной анестезии на фоне введении антибиотиков.
Полный текст
Одна из самых распространённых операций в мире — это кесарево сечение (КС). Несмотря на инициативы по противодействию этой тенденции, количество операций КС в мире продолжает расти [1]. Родоразрешение путём КС связано с длительной госпитализацией по сравнению с самопроизвольными родами и риском интра- и послеоперационных осложнений, частота которых варьирует в пределах 20–47% [2].
Внедрение программы ускоренного восстановления (ПУВ) после запланированного КС способствует быстрому восстановлению пациентки путём оптимизации различных элементов ухода для улучшения реабилитации [2]. Широкое признание такого подхода к лечению, несомненно, связано с растущими доказательствами преимуществ данного метода, таких, как снижение материнской заболеваемости, более короткое время госпитализации и быстрое возвращение к обычному распорядку дня в случаях, когда использовалась ПУВ [3].
Стратегии протоколов ПУВ включают следующие приёмы: информирование будущих мам до зачатия, надлежащую периоперационную гидратацию, питание, поддержание периоперационной нормотермии, предотвращение послеоперационных желудочно-кишечных расстройств, раннее удаление мочевого катетера, адекватное обезболивание, рациональное применение антибактериальных препаратов в качестве антибиотикопрофилактики и раннюю послеоперационную активизацию [4].
В настоящее время известно, что окислительный стресс (ОС) усиливается во время нормальной беременности, и роженица будет испытывать ОС разной степени во время кесарева сечения и вагинальных родов. Несколько исследований показали, что КС вызывает меньше проявлений стресса, чем спонтанные вагинальные роды [5, 6]. Тем не менее опубликованные в 2011 г. результаты исследования, проведённого B. Paramita и соавт. [7], показали, что ОС выше при родоразрешении путём КС по сравнению со спонтанными вагинальными родами. В предыдущих исследованиях мы также установили, что КС сопровождается интенсификацией окислительной модификации макромолекул на фоне снижения антиоксидантной ёмкости крови [8, 9]. В то же время M. Wilinska и соавт. в своей работе [10] показали, что интенсивность ОС не зависит от способа родоразрешения. Как видно, результаты исследований, опубликованные в этой области, и их выводы противоречивы.
Целью нашего исследования является изучение влияния компонентов ПУВ на тяжесть ОС при абдоминальном родоразрешении на разных этапах периоперационного периода.
МАТЕРИАЛЫ И МЕТОДЫ
Проведено сравнительное групповое проспективное и ретроспективное исследование, одобренное на заседании этического комитета Дагестанского государственного медицинского университета 17.04.2018 г. Получено информированное согласие всех пациенток на участие в исследовании и публикацию их медицинских данных.
Критерии включения: доношенная беременность, рубец на матке после двух операций кесарева сечения и более, поперечное положение плода, патология костей таза (анатомически узкий таз III–IV степени сужения). Критерии исключения: преждевременные роды, макросомия плода, многоплодная беременность, преэклампсия любой степени тяжести, массивная кровопотеря (более 30% ОЦК), высокий риск гнойно-септических осложнений, сахарный диабет, ожирение и другая соматическая и акушерская патология.
В исследование включили 81 пациентку перинатального центра г. Махачкалы, которым проводилось плановое кесарево сечение в условиях спинальной анестезии.
Выделены две группы родильниц:
- 1-я группа ― контрольная (n=38), с традиционным ведением периоперационного периода (голодание за 8 ч до операции, введение антибиотика после пережатия пуповины). В пределах данной группы забор крови проводили у каждой из 38 пациенток в разные промежутки времени, в связи с этим выделены следующие этапы проведения исследования:
- 1a ― до начала проведения анестезии (n=38);
- 1b ― после развития анестезии до разреза на коже (n=38);
- 1c ― к концу операции (n=38);
- 1d ― интраоперационно, пуповинная кровь (n=38).
Таким образом, у родильниц 1-й группы взято 152 образца исследуемого материала.
- 2-я группа ― основная (n=43), включала родильниц, периоперационный период у которых вели по ПУВ с введением антибиотика цефазолина (2 г внутривенно за 1 час до разреза на коже) и с приёмом глюкозосодержащего напитка (ГСН) за 2 часа до операции.
В основной группе забор крови проводили на аналогичных этапах:
- 2a ― до начала проведения анестезии (n=43);
- 2b ― после развития анестезии до разреза на коже (n=43);
- 2c ― к концу операции (n=43);
- 2d ― интраоперационно, пуповинная кровь (n=43).
Всего у родильниц 2-й группы взято 172 образца исследуемого материала.
При выполнении настоящей работы использовали методы предподготовки биологического материала и спектральные методы анализа. Забор биологического материала (кровь) для анализа у родильниц обеих групп осуществляли из локтевой вены в пробирки с антикоагулянтом. Центрифугирование крови производили при 1500 об/мин 10 мин на центрифуге Eppendorf 5702R (Германия). Полученную плазму использовали для анализа, а к осадку эритроцитов добавляли 10,0 мл охлаждённого 0,9% раствора натрия хлорида или буфера (0,01 М Трис-HCl буфер, рН 7,4), смешивали, после чего эритроциты центрифугировали 5 мин при 2000 об/мин. В дальнейшем эритроциты многократно промывали 0,9% раствором натрия хлорида. Все препаративные процедуры проводили при температуре 4 °С. Выделенный осадок эритроцитов использовали для получения мембран эритроцитов. Тени эритроцитов получали по методу Доджи с незначительными модификациями по А.Н. Кленовой [11].
Измерение собственной флуоресценции белков плазмы крови и мембран эритроцитов
Снятие спектров суммарной собственной люминесценции белков крови и эритроцитарных мембран проводили на спектрофлуориметре Hitachi F-7000 (Япония). Спектры люминесценции получены в диапазоне длин волн 290 нм ≤ λ ≤400 нм при возбуждении светом длиной волны 280 нм. Спектры интенсивности флуоресценции получали графически, при измерении в течение 2 мин. Спектральная щель составляла 1,5/5 нм [12].
Статистический анализ полученных результатов исследования проводили с использованием t-критерия Стьюдента.
Обработку спектров производили в программе Microsoft Excel и Origin 9.0. Полученные спектры суммарной флуоресценции усредняли путём сложения спектральных линий, полученных в повторных экспериментах в программе Microsoft Excel. Спектральные шумы флуоресценции устраняли с использованием метода Фурье по 5 точкам, после чего анализировали параметры спектров флуоресценции белков ― λмакс и Iмакс.
Для увеличения разрешения перекрывающихся в исходных спектрах полос использовали метод численного дифференцирования путём вычисления вторых производные спектров флуоресценции (2ПСФ) [13].
РЕЗУЛЬТАТЫ И ОБСУЖДЕНИЕ
По клиническим показателям исследуемые группы не имели статистически значимых различий [14].
Чувствительный индикатор ОС ― изменение структурной организации белков. В настоящем исследовании мы сравнили влияние спинальной анестезии в обеих группах и влияние ГСН, назначаемого до операции в основной группе родильниц при плановых операциях КС, на спектры суммарной флуоресценции белков плазмы крови и мембран эритроцитов.
При статистическом анализе закономерностей распределения аминокислот в белках обнаружено высокое содержание тирозина и триптофана в трансмембранных доменах всех основных классов мембранных белков. Высокое содержание аминокислотных остатков триптофана и тирозина наблюдалось в местах контакта белков с мембраной, то есть там, где наивысшая плотность липидов [15].
Флуоресцентный хромофор, который выбран в данном исследовании, позволяет обнаруживать структурно-динамические изменения как в белках плазмы, так и в белках мембран эритроцитов крови. В молекулах белков аминокислота триптофан ― основной хромофор, флуоресцентные характеристики которого позволяют получить информацию о структуре белка и его динамике. Обладая большим дипольным моментом, аминокислотный остаток триптофана в возбуждённом состоянии в белках становится чувствительным индикатором к микроокружению, с широким диапазоном излучения с максимумами 315–352 нм [16].
Еще одно уникальное свойство аминокислот триптофана и тирозина ― это способность вступать в реакции с весьма опасными свободными радикалами ― активными формами кислорода (АФК), что также делает суммарную флуоресценцию белков чувствительным индикатором оксидативного стресса [15].
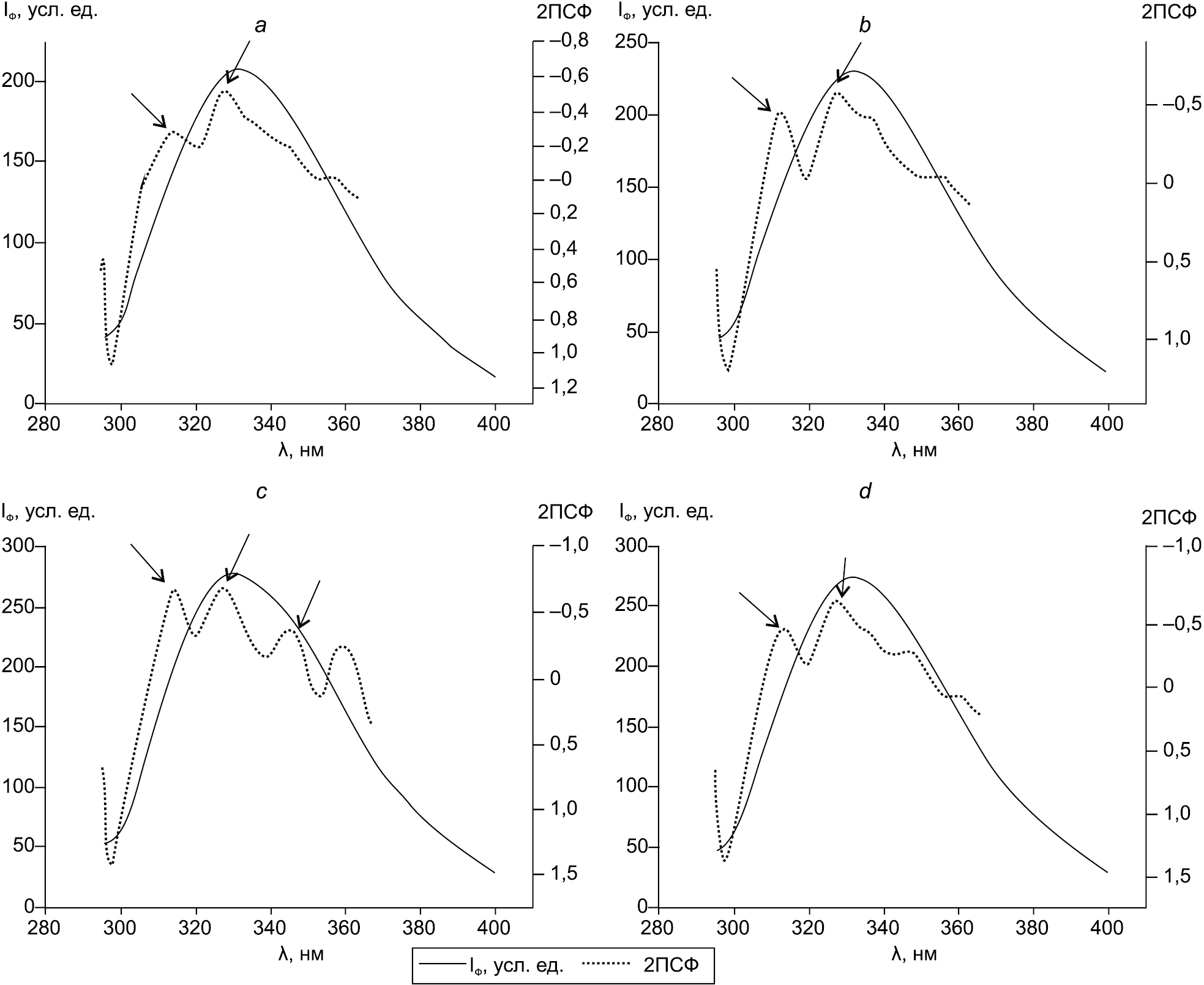
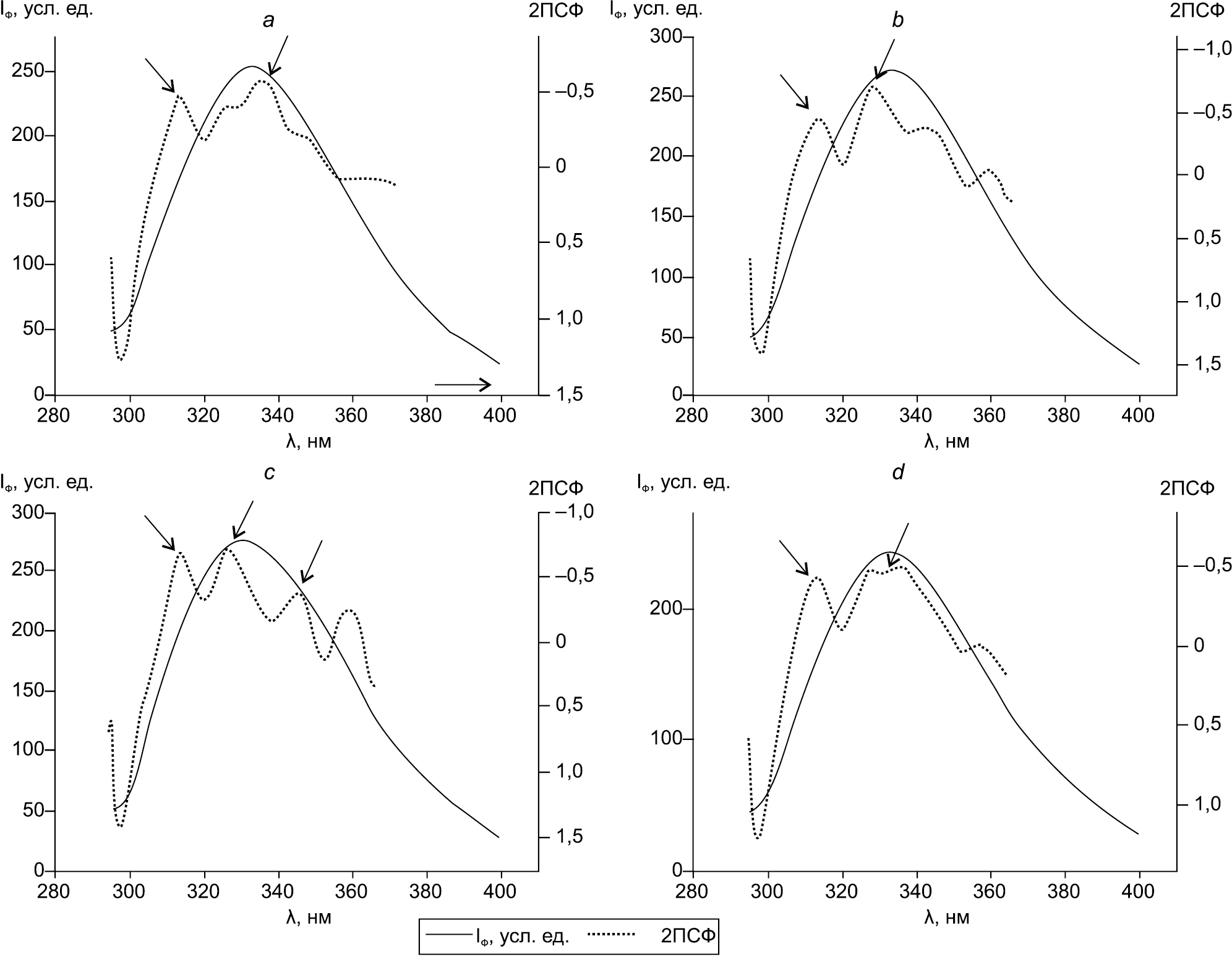
Спектры флуоресценции белков плазмы крови родильниц 1-й группы на всех этапах родоразрешения, представленные на рис. 1, а, b, c, d, имеют колоколообразную симметрию, с максимумом интенсивности около 335 нм. Как можно увидеть на рис. 1, а, b, c, интенсивность флуоресценции на разных этапах не изменяется. В то же время наблюдается низкая интенсивность спектров флуоресценции пуповинной крови (см. рис. 1, d). При этом спектральные характеристики флуоресценции пуповинной крови (λмакс, спектральная асимметрия) не претерпевают достоверных изменений, что указывает на отсутствие конформационных изменений в макромолекулах белков. Возможно, снижение интенсивности флуоресценции связано с уровнем общего белка в пуповинной крови (см. рис. 1, d).
Рис. 1. Интенсивность суммарной и триптофановой флуоресценции белков плазмы крови родильниц 1-й (контрольной) группы: a ― до начала проведения анестезии; b ― после развития анестезии до разреза на коже; c ― к концу операции; d ― интраоперационно, пуповинная кровь. Iф ― интенсивность флуоресценции, условные единицы; 2ПСФ ― вторые производные спектров флуоресценции.
Fig. 1. The intensity of total and tryptophan fluorescence of blood plasma proteins of maternity patients of the 1st (control) group: a ― before the start of anesthesia; b ― after the development of anesthesia before the incision on the skin; c ― by the end of the operation; d ― intraoperatively, umbilical cord blood. Iф ― fluorescence intensity, conventional units; 2ПСФ ― the second derivatives of the fluorescence spectra.
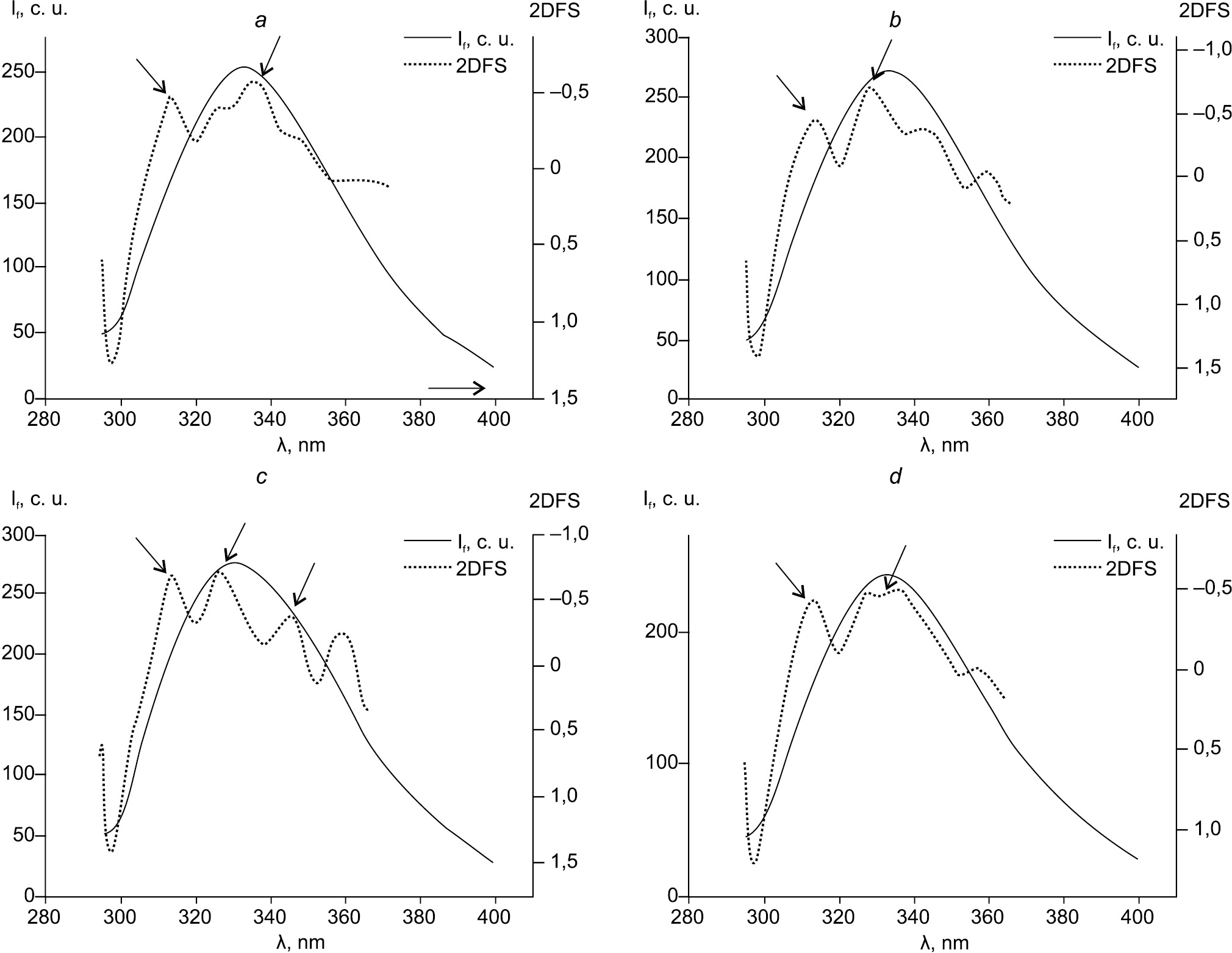
Интенсивность суммарной флуоресценции белков мембран эритроцитов крови родильниц 1-й (контрольной) группы на разных этапах исследования показана на рисунке 2.
Рис. 2. Интенсивность суммарной флуоресценции белков мембран эритроцитов крови родильниц 1-й (контрольной) группы: a ― до начала проведения анестезии; b ― после развития анестезии до разреза на коже; c ― к концу операции; d ― интраоперационно, пуповинная кровь. Iф ― интенсивность флуоресценции, условные единицы; 2ПСФ ― вторые производные спектров флуоресценции.
Fig. 2. The intensity of total fluorescence of proteins of erythrocyte membranes of the blood of maternity women of the 1st (control) group: a ― before the start of anesthesia; b ― after the development of anesthesia before the incision on the skin; c ― by the end of the operation; d ― intraoperatively, umbilical cord blood. Iф ― fluorescence intensity, conventional units; 2ПСФ ― the second derivatives of the fluorescence spectra.
Таким образом, отсутствие в спектрах флуоресценции изменения интенсивности и спектральной асимметрии указывает на то, что триптофановые и тирозиновые аминокислотные остатки белков плазмы крови родильниц 1-й группы не подвержены окислительной деструкции. В случае окисления триптофановых и тирозиновых аминокислотных остатков в молекулах белков наблюдалось бы падение интенсивности суммарной люминесценции и спектральная асимметрия, так как аминокислотные остатки триптофана формируют длинноволновое, а тирозина ― коротковолновое крыло в суммарном спектре флуоресценции белков [17].
Операция КС часто осложняется хирургическими инфекциями, эндометритом и инфекцией мочевыводящих путей. В основанных на фактических данных рекомендациях ВОЗ предлагается использовать антибиотики широкого спектра действия до хирургического разреза [2].
Высказано предположение, что активность бактерицидных антибиотиков вызвана общим механизмом, связанным с образованием АФК. Однако участие АФК в гибели микроорганизмов, опосредованной антибиотиками, стало предметом многочисленных споров [18].
Интенсификация процессов генерации АФК на фоне введения антибиотиков может сопровождаться усилением оксидативного стресса в организме. Один из механизмов бактерицидного эффекта антибиотика ― это усиление генерации АФК в клетках в результате реакции Фентона с участием металлов переменной валентности [18].
Известно, что микроорганизмы в ходе жизнедеятельности генерируют NO и H2S, что приводит к экспрессии антиоксидантных ферментов и подавлению реакции Фентона, благодаря чему формируется устойчивость грамположительных и грамотрицательных бактерий к антибиотикам [19].
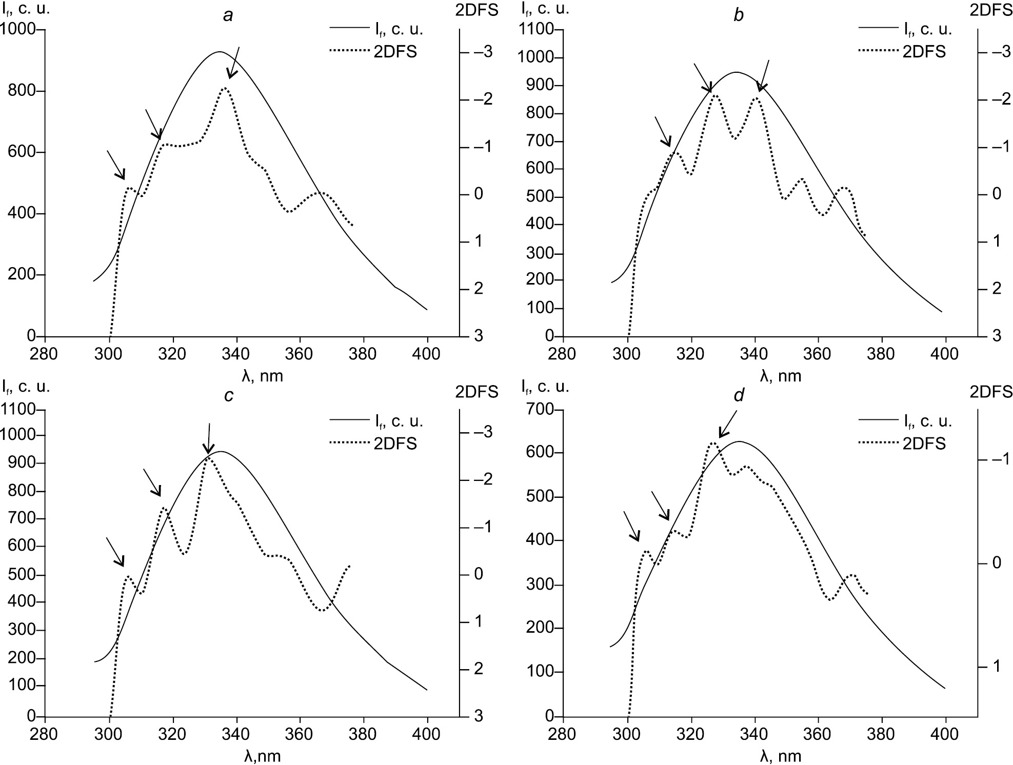
На рис. 3, а, b, c представлены спектры суммарной флуоресценции белков плазмы крови родильниц 2-й группы (с введением цефазолина за 1 час до КС и приёмом ГСН).
Рис. 3. Интенсивность суммарной флуоресценции белков плазмы крови родильниц во 2-й (основной) группе: a ― до начала проведения анестезии; b ― после развития анестезии до разреза на коже; c ― к концу операции; d ― интраоперационно, пуповинная кровь. Iф ― интенсивность флуоресценции, условные единицы; 2ПСФ ― вторые производные спектров флуоресценции.
Fig. 3. The intensity of total fluorescence of plasma proteins of maternity mothers in the 2nd (main) group: a ― before the start of anesthesia; b ― after the development of anesthesia before the incision on the skin; c ― by the end of the operation; d ― intraoperatively, umbilical cord blood. Iф ― fluorescence intensity, conventional units; 2ПСФ ― the second derivatives of the fluorescence spectra.
Как видно на рис. 3, на всех этапах подготовки и операции КС интенсивность собственной флуоресценции белков плазмы крови родильниц падает на 20% относительно таковой у родильниц 1-й группы (см. рис. 1). Мы предполагаем, основываясь на литературных данных, что в основе данного снижения интенсивности суммарной флуоресценции лежит механизм активации генерации АФК антибиотиками посредством NADH-дегидрогеназного комплекса (комплекс Ι) в митохондриях, что приводит к окислению триптофанилов и тирозинилов в молекулах белков плазмы крови [19].
Окисление данных аминокислотных остатков может сопровождаться нарушением структуры макромолекул белков плазмы крови с потерей их функциональной активности.
Подобного снижения интенсивности суммарной флуоресценции на фоне введения цефазолина и ГСН не наблюдается в белках плазмы пуповинной крови (см. рис. 3, d). Как известно, плацента обладает избирательной проницаемостью, а также в ней высок уровень антиоксидантной защиты.
Существуют три пути защиты плаценты и плода от высокого уровня окислительного стресса, который приводит к самопроизвольному прерыванию беременности: это снижение окислительного стресса с помощью антиоксидантной системы (АОС) организма, стимулирование инвазии трофобластов и ангиогенеза и подавление апоптоза [20].
Для увеличения разрешения перекрывающихся в исходных спектрах полос предпочтительно использовать метод численного дифференцирования путём вычисления вторых производные спектров флуоресценции (2ПСФ). Этот метод анализа позволяет получить более детальную информацию о конформационных изменениях в структуре макромолекул белков за счёт выделения индивидуальных линий аминокислотных остатков триптофана и тирозина в спектрах суммарной флуоресценции. Данный метод наиболее информативен по сравнению с исходными суммарными спектрами флуоресценции [13].
Анализ спектров суммарной собственной флуоресценции показал, что в белках плазмы крови родильниц 1-й группы в условиях спинальной анестезии и родоразрешения путём КС наблюдаются конформационные изменения относительно этапа a.
Как видно на кривой 2ПСФ на рис. 1 и 2, на всех этапах наблюдается вклад отдельных пиков триптофановой и тирозиновой флуоресценции. Характерное отличие 2ПСФ контрольной группы (см. рис. 1) от основной (см. рис. 3), это более выраженный тирозиновый пик, за исключением пуповинной крови (см. рис. 3, d).
Тирозиновая флуоресценция в нативных белках практически отсутствует за счёт тушения в полярном растворе и эффективного переноса энергии возбуждения с остатков тирозина на триптофанилы (фёрстеровский резонансный перенос энергии).
Известно, что размеры большинства белков составляют порядка 14 Å, что соответствует радиусу эффективного переноса энергии с тирозина на триптофан [21]. Но в любом случае это свидетельствует о конформационных перестройках белков плазмы крови, что может привести к нарушению основных, критически важных функций белков плазмы [22].
Собственная флуоресценция тирозина в белках плазмы крови здоровых людей отсутствует. Это связано как с низким квантовым выходом, так и с тем, что в процессе релаксации происходит частичная передача энергии от возбуждённых остатков тирозина на триптофанилы (см. рис. 1, а). Данный механизм не единственная причина тушения флуоресценции тирозина. Здесь также может иметь место тушение флуоресценции тирозина близко расположенными карбоксильными группами или незаряженными аминогруппами в белках.
Следовательно, в основе отсутствия флуоресценции тирозина или её минимального уровня в нативных белках организма могут лежать различные механизмы. Для любого индивидуального белка точный механизм тушения тирозиновой флуоресценции не известен [16].
Помимо тирозинового компонента во 2ПСФ белков плазмы в 1-й и 2-й группах (см. рис. 1, 3) мы видим как коротковолновые, так и длинноволновые пики флуоресценции на 320, 325, 340, 355 нм, которые соответствуют флуоресценции остатков аминокислоты триптофана в макромолекуле белка. Полученные индивидуальные полосы указывают, что остатки триптофана в белках плазмы крови частично или полностью контактируют с полярным растворителем. Интересно, что и в пуповинной крови в 1-й (контроль) и во 2-й (основной) группе родильниц чётко выражен один пик на 325 нм и 340 нм соответственно (см. рис. 1, d; рис. 3, d). Остальные пики, ярко выраженные в 1-й группе (см. рис. 1, а, d), становятся менее выраженными в основной группе.
Как известно из литературных данных, антиоксидантная защита пуповинной крови достоверно выше, чем венозной крови родильницы. Но тем не менее новорождённый имеет низкую защиту от ОС по сравнению с матерью [21].
В плазме крови новорождённых наблюдается низкое содержание витамина Е, β-каротина, мелатонина и сульфгидрильных групп, также снижен уровень белков, опосредованно выполняющих антиоксидантные функции, металлсвязывающих белков плазмы, таких как церулоплазмин и трансферрин, и активность супероксиддисмутазы эритроцитов [23].
Современный подход к изучению влияния различных химических агентов на организм человека требует исследования механизмов окислительного стресса не только на уровне белков, ферментов и ферментных систем, но и на уровне клеток, субклеточных структур. Биологические мембраны постоянно взаимодействуют с различными молекулами как эндогенного, так и экзогенного происхождения. Эритроциты первыми взаимодействуют с химическими агентами, поступающими в организм человека, что может нарушить целостность мембран, привести к угнетению мембранных и метаболических функций [24].
Есть несколько важных моментов, на которые следует обратить внимание и на которые мы опирались в ходе постановки данного исследования ― это исследование собственной суммарной флуоресценции (триптофановой и тирозиновой) мембранных белков эритроцитов.
В растворимых белках триптофан не является распространённой аминокислотой, но его достаточно много в мембранных белках, потому что эта ароматическая аминокислота играет ключевую роль в закреплении и позиционировании мембранных белков. Триптофан обладает наибольшей движущей силой всех аминокислот для межфазной области между липидным бислоем и гидратной оболочкой белка и, следовательно, обеспечивает значительную устойчивость структуре белка [15].
Критическая роль триптофана в стабильности мембранных белков объясняется несколькими причинами: во-первых, тем, что это амфифильная молекула, которая обладает одновременно гидрофильными и гидрофобными свойствами, во-вторых, триптофан может быть донором водородной связи в гидрофобной области. Переход аминокислотных остатков триптофана в мембранных белках из полярного микроокружения в липидный бислой сопровождается синим сдвигом с максимума излучения (при воздействии полярного растворителя) от 350 до 330 нм (в бислое, гидрофобное микроокружение). Такой переход сопровождается существенным увеличением квантового выхода люминесценции порядка 1,5 раза. Эти и другие динамические свойства делают флуоресцентные характеристики триптофана хорошим репортером для изучения структуры и динамики мембранных белков [16].
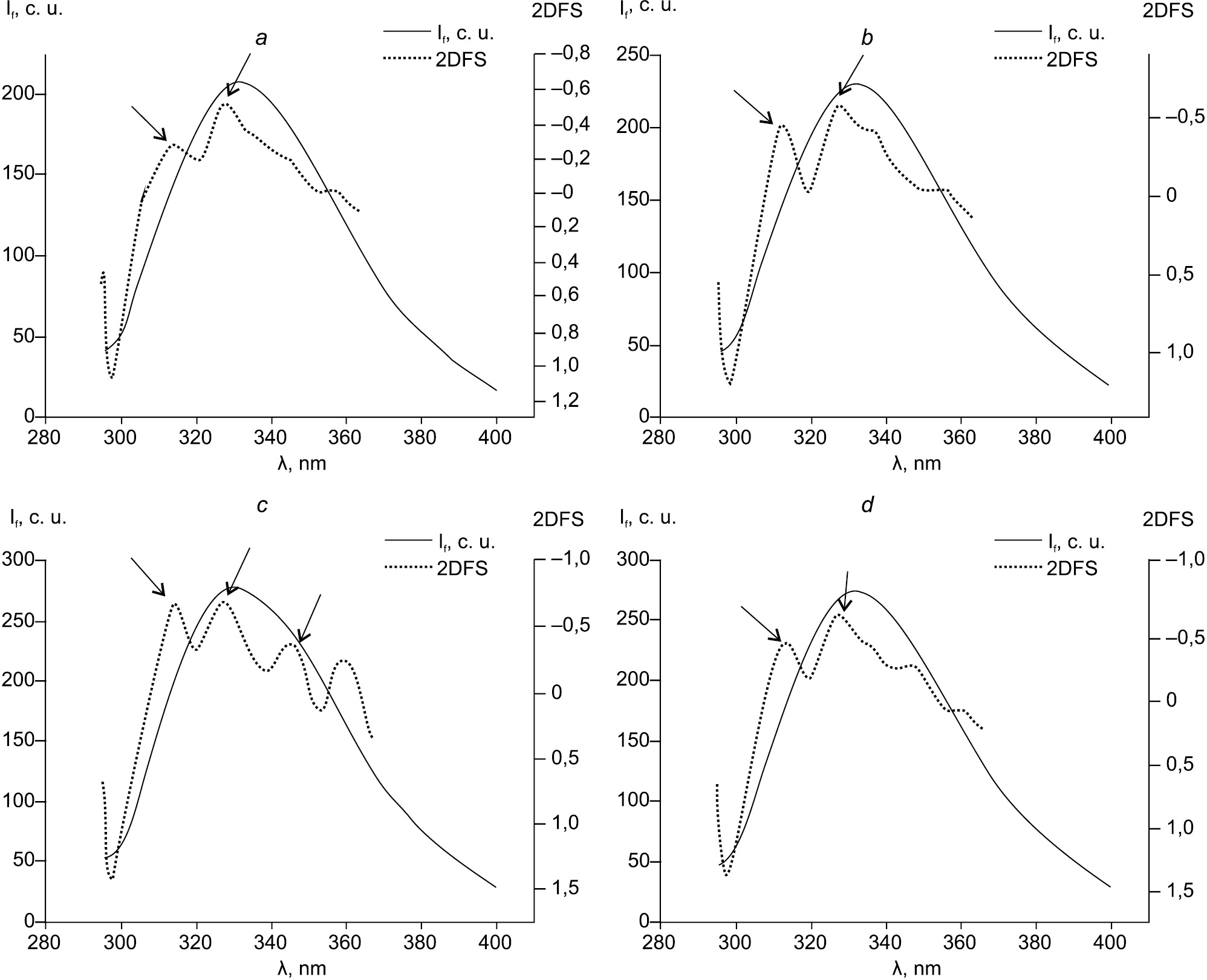
Рис. 4. Интенсивность суммарной флуоресценции белков мембран эритроцитов во 2-й (основной) группе: a ― до начала проведения анестезии; b ― после развития анестезии до разреза на коже; c ― к концу операции; d ― интраоперационно, пуповинная кровь. Iф ― интенсивность флуоресценции, условные единицы; 2ПСФ ― вторые производные спектров флуоресценции.
Fig. 4. The intensity of total fluorescence of erythrocyte membrane proteins in the 2nd (main) group: a ― before the start of anesthesia; b ― after the development of anesthesia before the incision on the skin; c ― by the end of the operation; d ― intraoperatively, umbilical cord blood. Iф ― fluorescence intensity, conventional units; 2ПСФ ― the second derivatives of the fluorescence spectra.
Как видно на рис. 2 и 4, интенсивность собственной флуоресценции в исследуемых образцах обеих групп не претерпевает достоверных изменений. Но при этом в 1-й группе, за исключением эритроцитов пуповинной крови, мы наблюдаем изменение величины стоксова сдвига в сторону коротких волн. Так, максимум интенсивности флуоресценции (λmax) мембранных белков эритроцитов при λвозб 280 нм до анестезии равен 334 нм, а после кесарева сечения на фоне проведения анестезии и введения антибиотика λmax равна 330 нм. В группе рожениц, получивших ГСН, изменения величины стоксова сдвига не наблюдалось.
Причиной гипсохромного эффекта (синий сдвиг), наблюдаемого в спектрах флуоресценции эритроцитов, можно предположительно считать как комплексное влияние спинальной анестезии и антибиотика (λmax 333 нм), так и хирургическое вмешательство ― λmax 330 нм. Синий сдвиг указывает на то, что меняется полярность микроокружения хромофора, который вносит суммарный вклад в собственную флуоресценцию белков мембран эритроцитов. Это может происходить как за счёт липидной матрицы мембран, увеличения гидрофобности микроокружения в результате погружения белков в липидный слой, так и за счёт конформационных перестроек мембранных белков. В подтверждение этого в основной группе во вторых производных спектров флуоресценции (см. рис. 4) основные пики наблюдались в левом крыле спектра, что отличает их от 2ПСФ в контрольных образцах и в образцах пуповинной крови (см. рис. 2, a, d).
Среди множества механизмов модификации белковых молекул наиболее быстрым является свободнорадикальное окисление, что играет важную роль в структурно-функциональных изменениях клеточных мембран и всегда влечёт за собой нарушение клеточного гомеостаза [25].
ЗАКЛЮЧЕНИЕ
Таким образом, по спектрам суммарной собственной флуоресценции белков плазмы крови родильниц и пуповинной крови можно предположить, что на всех этапах подготовки к родоразрешению путём КС в условиях спинальной анестезии в белках крови происходят незначительные конформационные изменения. Усиление окислительной деструкции белков плазмы крови происходит на фоне введения антибиотиков за час до родоразрешения. Это выражается не только в падении интенсивности собственной флуоресценции белков плазмы, но и сопровождается «разрыхлением» белковых глобул, на что указывает изменение пиков флуоресценции во 2СПФ.
В то же время в контрольной группе, которую составили родильницы с традиционным периоперационным периодом (голодание за 8 ч до операции, введение антибиотика после пережатия пуповины), в эритроцитах происходит изменение структурно-динамических параметров мембран, сопровождающееся изменением величины стоксова сдвига, что нивелирует падение интенсивности флуоресценции мембранных белков.
Как известно, окислительная деструкция белков может быть пусковым механизмом патологических процессов и наиболее ранним маркером оксидативного стресса. По динамике конформационных изменений в белках плазмы и эритроцитов крови можно судить об интенсивности ОС, а также об адаптационных возможностях организма родильниц.
Полученные данные не указывают на какие-либо стойкие патологические явления в организме матери на всех этапах подготовки к родоразрешению путём КС с применением спинальной анестезии на фоне введения антибиотиков. Свидетельством этого является тенденция к восстановлению некоторых параметров собственной флуоресценции белков при применении ГСН.
ДОПОЛНИТЕЛЬНАЯ ИНФОРМАЦИЯ / ADDITIONAL INFO
Вклад авторов. Все авторы внесли существенный вклад в разработку концепции, проведение исследования и подготовку статьи, прочли и одобрили финальную версию перед публикацией.
Author contribution. All authors made a substantial contribution to the conception of the work, acquisition, analysis, interpretation of data for the work, drafting and revising the work, final approval of the version to be published and agree to be accountable for all aspects of the work.
Финансирование. Авторы заявляют об отсутствии внешнего финансирования при проведении исследования.
Funding source. This study was not supported by any external sources of funding.
Конфликт интересов. Авторы декларируют отсутствие явных и потенциальных конфликтов интересов, связанных с публикацией настоящей статьи.
Competing interests. The authors declares that there are no obvious and potential conflicts of interest associated with the publication of this article.
Об авторах
Джаминат Расуловна Меджидова
Дагестанский государственный медицинский университет
Автор, ответственный за переписку.
Email: dzhamilya-med@mail.ru
ORCID iD: 0000-0002-6182-9942
к.м.н., доцент
Россия, 367009, Республика Дагестан, Махачкала, ул. Камалова, 25/1Ефим Муневич Шифман
Московский областной научно-исследовательский клинический институт им. М.Ф. Владимирского
Email: eshifman@mail.ru
ORCID iD: 0000-0002-6113-8498
д.м.н., профессор, зав. кафедрой анестезиологии и реаниматологии, президент Ассоциации акушерских анестезиологов-реаниматологов
Россия, МоскваВагаб Рафикович Абдуллаев
Дагестанский государственный университет
Email: vagab@mail.ru
ORCID iD: 0000-0002-3551-1746
к.б.н., доцент
Россия, КизлярАлександр Вениаминович Куликов
Уральский государственный медицинский университет
Email: kulikov1905@yandex.ru
д.м.н., профессор
Россия, ЕкатеринбургСписок литературы
- Visconti F., Quaresima P., Rania E., et al. Difficult caesarean section: A literature review // Eur J Obstet Gynecol Reprod Biol. 2020. Vol. 246. P. 72. doi: 10.1016/j.ejogrb.2019.12.026
- Меджидова Д.Р., Маршалов Д.В., Петренко А.П., Шифман Е.М. Периоперационные и отдаленные осложнения при кесаревом сечении: систематический обзор // Саратовский научно-медицинский журнал. 2020. Т. 16, № 1. С. 9–17.
- Bowden S.J., Dooley W., Hanrahan J., et al. Fast-track pathway for elective caesarean section: a quality improvement initiative to promote day 1 discharge // BMJ Open Qual. 2019. Vol. 8, N 2. P. e000465. doi: 10.1136/bmjoq-2018-000465
- Меджидова Д.Р., Омаров Н.С.-М., Шифман Е.М., Куликов А.В. Программа ускоренного выздоровления после операции кесарева сечения // Вопросы гинекологии, акушерства и перинатологии. 2018. Т. 17, № 3. С. 73–80. doi: 10.20953/1726-1678-2018-3-73-80
- Hracsko Z., Safar Z., Orvos H., et al. Evaluation of oxidative stress markers after vaginal delivery or Caesarean section // In Vivo. 2007. Vol. 21, N 4. P. 703–706.
- Díaz-Castro J., Florido J., Kajarabille N., et al. A new approach to oxidative stress and inflammatory signaling during labour in healthy mothers and neonates // Oxid Med Cell Longev. 2015. Vol. 2015. P. 178536. doi: 10.1155/2015/178536
- Paramita B., Mathangi D.С., Pricilla J. Assessment of maternal oxidative stress and antioxidant defence during Caesarean section // Experimental Clinical Physiology Biochemistry. 2018. Vol. 81, N 1. P. 5–10. doi: 10.25040/ecpb2018.01.005
- Меджидова Д.Р., Шифман Е.М., Черкесова А.У., Черкесова Д.У. Перекисное окисление липидов и окисленность белков плазмы крови и мембран эритроцитов матери при абдоминальном родоразрешении с использованием программы ускоренного выздоровления // Вопросы гинекологии, акушерства и перинатологии. 2020. Т. 19, № 3. С. 57–62. doi: 10.20953/1726-1678-2020-3-57-62
- Меджидова Д.Р., Шифман Е.М., Черкесова А.У., Черкесова Д.У. Окислительно-антиоксидантный статус крови новорожденных при кесаревом сечении при программе ускоренного восстановления // Доктор.Ру. 2021. Т. 20, № 1. С. 45–49. doi: 10.31550/1727-2378-2021-20-1-45-49
- Wilinska M., Borszewska-Kornacka M.K., Niemiec T., Jakiel G. Oxidative stress and total antioxidant status in term newborns and their mothers // Ann Agric Environ Med. 2015. Vol. 22, N 4. P. 736–740. doi: 10.5604/12321966.1185786
- Dodge J., Mitchell C., Hanahan D. The preparation and chemical characteristics of hemoglobin-free ghosts of human erythrocytes // Arch Biochem Biophys. 1963. Vol. 100, N 1. P. 119–130.
- Дюбко Т.С. О некоторых аспектах применения флуоресцентного анализа в криобиологии. I. Собственная флуоресценция белков // Вісник Харківського національного університету імені В.Н. Каразіна. Серія: Біологія. 2006. Вип. 3, № 729. С. 221–231.
- Mozo-Villarías A. Second derivative fluorescence spectroscopy of tryptophan in proteins // J Biochem Biophys Methods. 2002. Vol. 50, N 2–3. P. 163–178.
- Меджидова Д.Р., Шифман Е.М., Куликов А.В., Нурмагомедова М.Н. Традиционный голод перед операцией кесарева сечения: что такое хорошо и что такое плохо? // Архив акушерства и гинекологии им. В.Ф. Снегирёва. 2018. Т. 5, № 4. С. 208–212. doi: 10.18821/23138726201854208212
- De Jesus A.J., Allen T.W. The role of tryptophan side chains in membrane protein anchoring and hydrophobic mismatch // Biochim Biophys Acta. 2013. Vol. 1828, N 2. P. 864–876. doi: 10.1016/j.bbamem.2012.09.009
- Moosmann B., Behl C. Cytoprotective antioxidant function of tyrosine and tryptophan residues in transmembrane proteins // Eur J Biochem. 2000. Vol. 267. P. 5687–5692.
- Lakowicz J.R. Principles of fluorescence spectroscopy. 3rd ed. New York: Springer, 2006.
- Van Acker H., Coenye T. The role of reactive oxygen species in antibiotic-mediated killing of bacteria // Trends Microbiol. 2017. Vol. 25, N 6. P. 456–466. doi: 10.1016/j.tim.2016.12.008
- Xiao Y., Xiong T., Meng X., et al. Different influences on mitochondrial function, oxidative stress and cytotoxicity of antibiotics on primary human neuron and cell lines // J Biochem Mol Toxicol. 2019. Vol. 33, N 4. P. e22277. doi: 10.1002/jbt.22277
- Schoots M.H., Gordijn S.J., Scherjon S.A., van Goor H., Hillebrands J.L. Oxidative stress in placental pathology // Placenta. 2018. Vol. 69. P. 153–161. doi: 10.1016/j.placenta.2018.03.003
- Ghisaidoobe A.B., Chung S.J. Intrinsic tryptophan fluorescence in the detection and analysis of proteins: a focus on Forster resonance energy transfer techniques // Int J Mol Sci. 2014. Vol. 15, N 12. P. 22518–22538. doi: 10.3390/ijms151222518
- Nejad R.K., Goodarzi M.T., Shfiee G., Pezeshki N., Sohrabi M. Comparison of oxidative stress markers and serum cortisol between normal labor and selective Cesarean section born neonates // J Clin Diagn Res. 2016. Vol. 10, N 6. P. BC01–BC03. doi: 10.7860/JCDR/2016/16935.7974
- Hu Y., Huang K., Sun Y., et al. Placenta response of inflammation and oxidative stress in low-risk term childbirth: the implication of delivery mode // BMC Pregnancy Childbirth. 2017. Vol. 17, N 1. P. 407. doi: 10.1186/s12884-017-1589-9
- Kutlesic M.S., Kocic G., Kutlesic RM. The effects of remifentanil used during cesarean section on oxidative stress markers in correlation with maternal hemodynamics and neonatal outcome: a randomized controlled trial // Rev Bras Anestesiol. 2019. Vol. 69, N 6. P. 537–545. doi: 10.1016/j.bjan.2019.05.005
- Turpin C., Catan A., Guerin-Dubourg A., et al. Enhanced oxidative stress and damage in glycated erythrocytes // PLoS One. 2020. Vol. 15, N 7. P. e0235335. doi: 10.1371/journal.pone.0235335
Дополнительные файлы






